Ion concentration polarization causes a nearly pore-length-independent conductance of nanopores Faraday Discussions (2024)

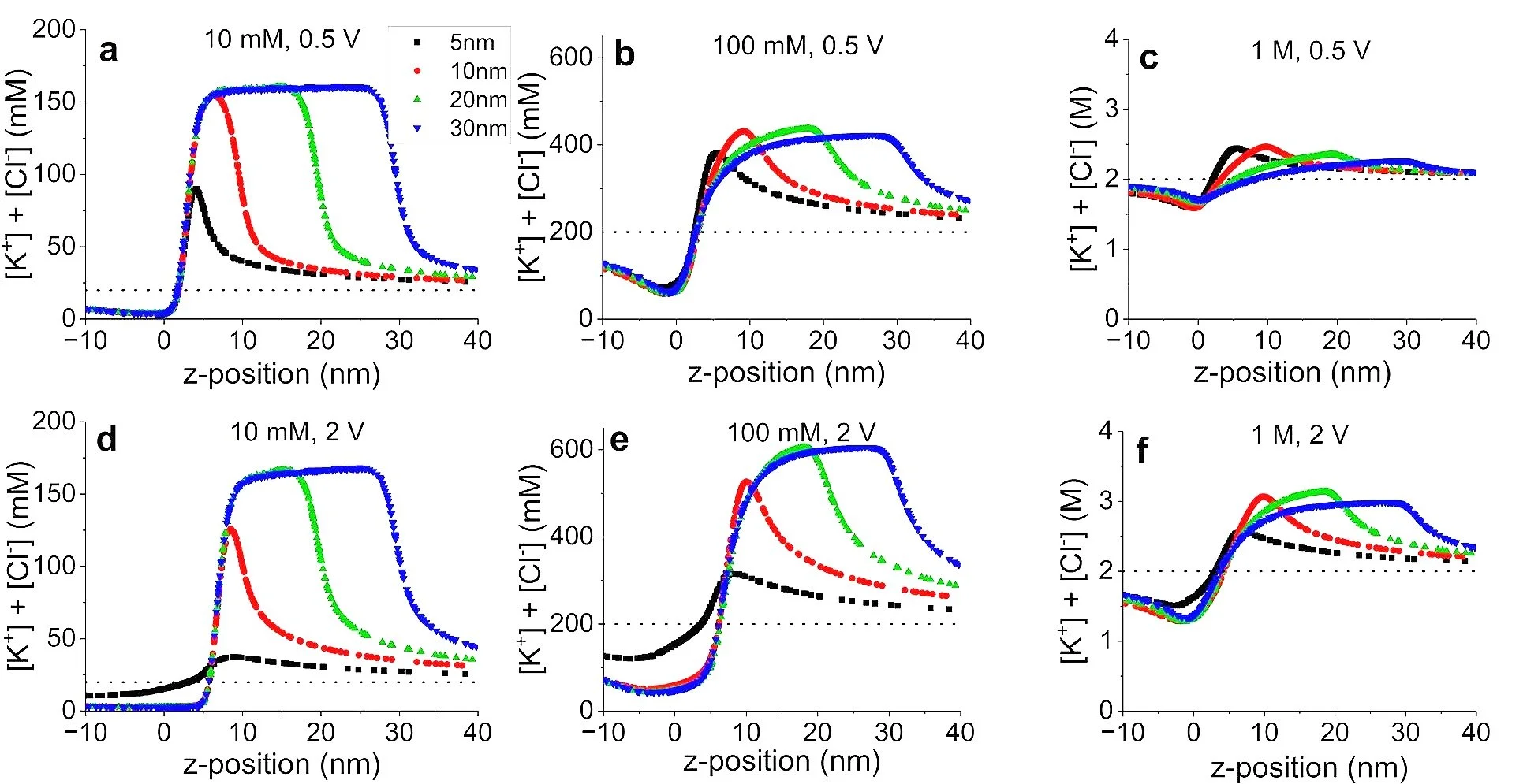
There has been a great amount of interest in nanopores as the basis for sensors and templates for preparation of biomimetic channels as well as model systems to understand transport properties at the nanoscale. The presence of surface charges on the pore walls has been shown to induce ion selectivity as well as enhance ionic conductance compared to uncharged pores. Here, using three-dimensional continuum modeling, we examine the role of the length of charged nanopores as well as applied voltage for controlling ion selectivity and ionic conductance of single nanopores and small nanopore arrays. First, we present conditions where the ion current and ion selectivity of nanopores with homogeneous surface charges remain unchanged, even if the pore length decreases by a factor of 6. This length-independent conductance is explained through the effect of ion concentration polarization (ICP), which modifies local ionic concentrations, not only at the pore entrances but also in the pore in a voltage-dependent manner. We describe how voltage controls the ion selectivity of nanopores with different lengths and present the conditions when charged nanopores conduct less current than uncharged pores of the same geometrical characteristics. The manuscript provides different measures of the extent of the depletion zone induced by ICP in single pores and nanopore arrays, including systems with ionic diodes. The modeling shown here will help design selective nanopores for a variety of applications where single nanopores and nanopore arrays are used.

Read the Article

Ion Concentration Polarization Tunes Interpore Interactions and Transport Properties of Nanopore Arrays Advanced Functional Materials (2024)

Biological processes require concerted function of many channels embedded in the cell membrane. While single solid-state nanopores are already designed to mimic properties of individual biological channels, it is not yet known how to connect the pores to achieve biomimetic ionic circuits with interacting components. To identify fundamental processes that control interactions between nanopores embedded in the same membrane, a model system of minimal arrays consisting of two and three nanopores in silicon nitride films is designed. The constituent nanopores have an opening diameter <10 nm, and the interpore spacing is tuned between 15 and 200 nm. The experimental and modeling results reveal that nanopores in an array interact with each other via overlapping depletion zones created by the process of concentration polarization. The interactions can be further controlled by salt concentration and voltage. These results showcase a possibility of tuning interactions between nanopores and transport properties of arrays by chemical modification of the pore walls. Arrays consisting of nanoporous ionic diodes feature depletion zones with higher concentrations, and lower current suppression than homogeneously charged pores. These experiments and modeling provide the first steps to leave the constraints of single nanopores and to design biomimetic ionic circuits.

Read the Article